当前位置:首页 > 机构 > 农业机械化管理司 > 全程全面机械化
中国农业机械化科技发展报告2015-2016年(十一)
十一、技术集成与区域规划
(一)专业组工作开展情况
1.专题调研
(1) 2016年3月11日, “十二五”国家科技支撑计划“大田作物机械化生产关键技术研究与示范”2015年度总结交流会在济南召开。专业组组长、项目首席专家易中懿研究员,农业部农机化司科教处王国占调研员,农业部科技发展中心项目管理处林友华高工出席会议,并邀请了山东省农科院副院长张立明研究员,农业部南京农业机械化研究所副所长曹光乔副研究员,华中农业大学工学院院长廖庆喜教授,山东省农业机械科学研究院院长骆琳研究员,南京农业大学丁为民教授,农业部南京农业机械化研究所主任陈永生研究员等专家对项目本年度执行情况进行咨询建议。项目4个课题的负责同志和主要研究人员共计80余人参加会议。
会议由我所副所长曹光乔主持,4位课题负责人分别汇报了本课题年度执行情况和2016年度工作重点,与会领导和专家对项目情况进行了点评。王国占处长和林友华高工对项目执行情况及取得的成果给予了肯定,认为项目在开展中体现了农机农艺结合,阶段性进展顺利,并对项目下一步工作提出了具体管理要求。王国占处长还就“十三五”重大项目谋划思路与大家进行了交流。项目执行咨询组专家分别对课题后续两年的工作提出了指导性的意见建议。
项目首席专家易中懿研究员指出2016年是项目非常关键的一年,并对各课题2016年的工作提出了要求:一是机具研发的产品定型要到位,按照项目任务书要求,全面完成机具研发的任务,对所有研发的改进的产品进行定型;二是完善农机农艺融合技术体系,完成相应的操作规程、技术规范,对不同的区域和种植模式,要把握重点,筛选主要的种植模式建立种植体系;三是强化试验示范、协调农机农艺,是2016年工作的重中之重,今年将组织专家对不同课题主要区域的试验示范进行现场考察和指导;四是对集成示范技术体系的经济效益和环境效益进行评价,看能否真正推广在实际生产中应用;五是继续强调科研经费的管理,必要时组织抽查;六是要抓住重点,培育课题研究成果,希望每个课题能提炼出2-3项成熟技术。
(2)2017年1月17日, “十二五”国家科技支撑计划“大田作物机械化生产关键技术研究与示范”2016年度总结交流会在南京召开。专业组长、项目首席专家易中懿研究员,农业部科技发展中心项目管理处林友华高工,农业部南京农业机械化研究所副所长曹光乔研究员出席会议,并邀请了江苏大学出版社李锦飞社长,中国农业大学张东兴教授,北京农机推广站赵景文副站长,山东省农业机械科学研究院骆琳研究员,南京农业大学工学院院长汪小旵教授,南京农业大学丁为民教授等专家对专著编写情况和本年度项目执行情况进行咨询建议。项目4个课题的负责同志和主要研究人员共计80余人参加会议。
项目首席专家易中懿研究员充分肯定了各课题组2016年度任务完成情况,围绕项目实施最后一年的目标任务,强调各课题2017年要重点做好以下工作:一是各课题要认真对照任务书,逐一落实各项指标完成情况,并在梳理过程中总结产业重大需求和科学问题,提出后续重点研究任务;二是要继续加强形成农机农艺融合的生产模式,在农机农艺优势单位共同努力下构建机械化生产体系,并进行集成示范推广;三是要认真做好项目验收前期准备工作,高度重视科研资金规范管理和合规使用,对约束性指标和财务审计要求材料要全力配合,提前精心准备;四是要按时高质量完成课题系统丛书专著的编撰工作,力争打造学术精品。
(3)2017年9月1日下午,专业组组长易中懿一行赴泗洪稻麦科技综合示范基地考察调研。考察了田间水稻新品种、栽培新技术试验及展示情况,听取了关于基地开展稻麦周年均衡高产攻关、秸秆还田全程机械化技术及装备应用等科技工作情况,了解了以江苏省农科院苏北科技服务中心和博士服务工作站为推广平台,在泗洪开展技术示范、科技服务的情况。基地积极申报和实施农业自主创新资金、国家财政农业技术推广和国家重大农技推广服务试点等科技项目,实现基地良好运行,把论文写在大地上,技术展示在示范田,带动农民科学化种田、机械化生产。期间,易中懿一行还参观了泗洪基地科技人员自主研发的湿粮就仓通风干燥、收储一体化的简易生产线。该套装备造价低,操作简便,性价比高,非常适合基层农民在稻麦收获期间抢季节、保丰收。
(4)2017年3月29-30日,专业组长易中懿一行赴西北农林科技大学调研。西北农林科技大学常务副校长吴普特接待了易中懿院长。座谈会上,双方围绕农业科技创新型人才培养、研究生教育管理、农业科技成果推广等工作进行了深入交流。
(5)农业部南京农业机械化研究所开发了“基于微信公众号的农机调研平台”,平台注册了来自全国1200多个县的农机推广人员、农机管理人员、农机合作社等共计2000多个固定调研人员。2017年通过“农机调研”平台开展了“农机作业服务基础保障调研”、“农机安全管理政策落实情况调研”、“2017年全国农机夏收夏种情况调研”、“农机合作社政策需求调查问卷(面向农机合作社)”与“农机合作社扶持政策需求调查问卷(面向农机推广人员)”共5期线上调研。回收2000余份问卷。
(6)2017年,农业部南京农业机械化研究所与农机直通车合作,建立农机专业合作社固定观测体系,目前监测的农机专业合作社达到500余个,已经开展了“农机合作社政策需求调查”与“农机合作社发展情况调查”两项调研。
(7)2017年9月28日,中德作物生产与农业技术示范园第三届“田间日”活动在苏垦农发黄海分公司举行。农业部南京农业机械化研究所曹光乔副所长应邀出席“田间日”活动。本次“田间日”活动旨在通过观摩中德示范园区农业生产工作开展情况,展示中德双方的农艺成果和来自各合作企业先进的农业机械、优质的植保产品,提供一个国际化的学习交流平台。共设立了13个田间参观站点,分别是: 黄海农机站 农机展示、杂交水稻种植示范 、德方农机作业演示 、大豆种植示范 、 粳稻种植示范 、 西兰花种植示范、小麦直播演示 、碎机作业演示、 玉米种植示范、旱稻种植示范 、水稻超高产攻关研究 、“稻作区土壤培肥与丰产增效耕作技术”试验和优质高产高效中熟粳稻品种筛选及配套的机械化轻简化栽培技术。
(8)2017年10月13日-20日,农业部南京农业机械化研究所组织开展了湖南省农户水稻机械化种植技术采纳行为调研。调研组分别针对山区、丘陵、平原三类地形条件的农户、家庭农场、农机合作社等主体开展问卷调查,从经济性、地形条件、农业种植结构、农艺路线等方面寻找机插秧推广制约因素。
2.会议交流
(1)2017年7月4日下午,专业组组长易中懿院长参加无锡市现代农业政产学研合作会,代表高校院所在交流发言时说,没有农业现代化,就没有整个城市的现代化。无锡是最具经济活力的发达城市之一,农业产值占比虽小,但地位很高。江苏省农科院跟无锡市的合作由来已久,从“阳山水蜜桃研究所”到“锡山设施园艺研究中心”以及“无锡尚田农村六次产业研究院”,江苏省农科院将全力支持无锡现代农业发展,深度融合政产学研合作,从智力支持、技术服务、成果转化、协同创新、教育培训、人才交流等方面加强对接、深化合作。
(2)2017年11月22日,2017年全国农机推广信息化与宣传工作培训班在千古名城襄阳开班,来自全国38个省市以及新疆生产建设兵团的近百名代表参加了培训。本次培训班主要以全国农机推广系统信息化建设为主题,通过大家听、看、谈,通过参观、讨论、交流,从宏观层面了解信息化对于农机推广工作的促进作用,从微观层面找出信息化应用当中的问题和不足,从而使信息化成为推进农机推广事业的重要抓手,全面加强信息化建设,进一步做好农机推广信息宣传工作。专业组成员、农业部农机推广总站副站长徐振兴出席培训会并做了重要讲话。徐站长在开班仪式上指出:通过参观、讨论、交流,大家互相学习、提高认识,善于运用互联网和信息化手段开展工作,从而持续推进全国农机推广系统的信息化建设水平。
(3)2017年11月15日,由中国农业机械学会农业机械化分会与大田农社、农机360网共同主办的“中德智慧农业与农业机械化峰会”在德国汉诺威成功举办。出席峰会的有德国农协(DLG)、德国联邦食品与农业部、德国农业联盟/德国亚太商业协会、中国驻德国大使馆、中国农业部、中国农业机械化协会等机构的领导、专家,中国一拖、雷沃重工、勇猛、巨明、五征、迪尔、克拉斯等中外企业,以及高等院校、科研院所及媒体嘉宾共200余人。共同展望智慧农业和农业机械化的未来,并对智慧农业发展对农业机械化在技术、产品、流通、系统、模式、人才等方面产生的影响及变革达成共识,共同渴望在为智慧农业、智慧农场、智慧生产提供系统解决方案方面有更多合作机会。专业组成员杨敏丽教授发表演讲。
(4)2017年11月17-18日,农业部农机推广(监理)总站在山东曲阜召开农机购置补贴机具分类分档和补贴额测算研讨会。专业组成员徐振兴对近年来农机购置取得的显著成效表示肯定,他指出《2018—2020年农业机械购置补贴实施指导意见》、《2018—2020年农业机械购置补贴机具种类范围》和全国通用类补贴机具分类分档办法的科学制定,对于解决农机领域的薄弱环节、结构性矛盾,以及未来三年农机化工作稳定有序、卓有成效的实施具有重大意义。
3.研究进展
(1)2017年4月25日,农业部南京农业机械化研究所编制的《蒙城现代农业装备产业规划》交流会暨项目验收会在南京钟山宾馆召开,农业部南京农业机械化研究所、蒙城县发改委、蒙城县农机局、蒙城县经信委、蒙城县招商局、中国农业机械流通协会、中国农业机械化协会、安徽省农机局、江苏常发集团等单位近20人参加了会议。会议首先由项目负责人农业部南京农业机械化研究所副所长、研究员曹光乔从规划起草的背景、指导思想、发展目标与原则、规划的主要项目工程、保障措施等方面进行汇报。就规划报告,蒙城县发改委等单位主要领导认为规划紧密围绕蒙城县产业发展,对各个重点工程展开了具体阐述,整个规划具有较强的合理性和可行性。
(2)2017年,农业部南京农业机械化研究所主持编制了《黑龙江兰西县产业扶贫规划》。通过对兰西县的实地走访,并与农业、旅游、信息化、扶贫、商务等部门的座谈,从明猪、亚麻、蔬菜、旅游、电子商务等五大产业进行科学布局,以产业带动就业、产业推动创业相结合的方式,科学测算各产业的主导项目、资金需求、扶贫效果,给出了兰西县全面实现脱贫工作路线图。
(3)2017年10月,农业部南京农业机械化研究所受农业部农机试验鉴定总站委托,开展了2017年第二次补贴咨询投诉电话抽查工作。本次抽查电话以中国农机化信息网农机购置补贴信息公开专栏中各地补贴咨询投诉电话数据库为准,数据更新节点为9月4日,抽查工作历时10个工作日,抽查范围涵盖全国所有省份,抽查电话总数量达1851个,其中1098个电话是从全国所有补贴联系电话中随机选取的,占本次抽查总数的59%;另外753个电话是2017年第一次抽查结果接通挂断和未接通状态的所有不合格电话,这次进行了全部复查。
(4)2017年10月,受中国进出口信用保险公司委托,农业部南京农业机械化研究所研究了《印度尼西亚农业装备发展情况》,课题组从印尼农业发展环境、自然条件、政策环境出发,对印尼农业机市场需求、农机工业基础、国外农机企业在印尼的市场策略与份额,中国农机产品对印尼出口现状与趋势进行了深入剖析。
(5)2017年9-11月,受南京市农委委托,农业部南京农业机械化研究所开展了《南京市农业项目绩效管理创新研究》工作,基于问卷调查与座谈对南京市农业项目相关利益方进行深入调研,总结南京市农业项目绩效管理的成功经验,找出存在的问题,提出应对思路与举措。
(6)2017年,农业部南京农业机械化研究所开发了《农业机械优化配置决策支持系统》,该系统可为农机管理部门提供农业装备结构优化方案,为农机合作社、家庭农场等新型经营主体提供科学的购机方案,系统可进行傻瓜式操作,具有精美的地图显示。
(7)2017年,农业部南京农业机械化研究所承担了农业部“农机科研基础数据长期监测项目”,研究了机械化耕作土壤理化性状监测指标体系与方法,组织全国监测点监测机械化耕作调价下土壤理化性状参数;研究了农业装备性能数据监测指标体系与方法,采集了拖拉机、播种机、耕整地机械、收割机等13类机器的经济性、作业性能等关键参数。
(8)2017年,农业部南京农业机械化研究所开展了“农业适度规模经营国内外研究进展与农业经营规模预测研究”工作,对国内外的研究进展以及耕地流转理论进行了梳理,分析了耕地流转的影响因素,基于LDMI因素分解法对耕地流转影响因素进行定量分析,科学预测了未来中国耕地经营规模(详见第二部分-专题报告)。
第二部分 专题报告
——农业适度规模经营研究进展及预测
由于我国户均耕地面积小,种粮总体收入较低,而小孩教育投入、文娱支出、住房投入、医疗养老等方面的开支随着农民对于提高生活质量愿望的增大而不断上涨,单纯通过种粮无法获取满足生活所需的收益。因此,两种不同的耕地经营意愿逐渐形成。一种希望减小或放弃耕地经营,通过外出务工获取更高的收入;另一种则希望增加耕地经营规模从而提高总体收益。20 世纪90 年代后期,我国农村开始自发形成了土地流转市场,一批村镇干部、种粮能手等农村能人开始吸收散户弃种的耕地,逐渐发展成为种粮大户。进入21 世纪后,部分大户通过吸引散户入股联合经营以扩大种植规模,开始出现农民专业合作社的雏形。为了支持引导农民专业合作社的发展,2007 年国家出台了《农民专业合作社法》,各级政府又相继出台了相关的新型经营组织扶持政策,如耕地流转政策、种粮大户补贴政策、农民专业合作社扶持政策、家庭农场扶持政策等,推动了我国农民专业合作社、种粮大户、家庭农场等新型经营主体的发展。农村耕地流转市场逐渐成熟,耕地流转规模不断扩大,我国家庭承包耕地流转总面积达到2.69*107 hm2,占家庭承包经营耕地总面积的比例达30.4%。促进了农业经营的规模化与集约化,未来我国农业经营主力必将是种粮专业大户、农民专业合作社、家庭农场等新型经营主体。新型经营主体对机器的要求将有别于现在的农户,他们更趋向于可靠性高、舒适度好、智能化程度高的机器。
一、耕地流转理论
1.耕地流转内涵
我国耕地的权益分为所有权、承包权、经营权,所有权归农民集体所有,承包权与经营权确权归农民所有,经营权可以转让。耕地流转是指将拥有耕地承包权与经营权的农民将耕地经营权转让给其他农民或组织,保留耕地承包权。耕地流转的形式有转包、转让、互换、出租、入股等方式。
2.耕地流转模式
转包是指承包方将部分或全部土地承包经营权以一定期限转给同一集体经济组织的其他农户从事农业生产经营。转包后原土地承包关系不变,原承包方继续履行原土地承包合同规定的权利和义务。接包方按转包时约定的条件对转包方负责。承包方将土地交他人代耕不足一年的除外。
转让是指承包方有稳定的非农职业或者有稳定的收入来源,经承包方申请和发包方同意,将部分或全部土地承包经营权让渡给其他从事农业生产经营的农户,由其履行相应土地的权利和义务。转让后原土地承包关系自行终止,原承包方承包期内的土地承包经营权部分或全部灭失。
互换是指承包方之间为方便耕作或者各自需要,对属于同一集体经济组织的承包地块进行交换,同时交换相应的土地承包经营权。
出租是指承包方将部分或全部土地承包经营权以一定期限租赁给他人从事农业生产经营。出租后原土地承包关系不变,原承包方继续履行原土地承包合同规定的权利和义务。承租方按出租时约定的条件对承包方负责。
入股是指实行家庭承包方式的承包方之间为发展农业经济,将土地承包经营权作为股权,自愿联合从事农业合作生产经营;其他承包方式的承包方将土地承包经营权量化为股权,入股组成股份公司或者合作社等,从事农业生产经营。
3.耕地流转的影响因素
耕地流转是发生在经济快速发展,农村劳动力加速向二、三产业转移的社会环境下(黎霆等,2009)。耕地流转除了受经济发展影响外,还受农民收入、社会保障、耕地禀赋条件、农业机械化水平、国家政策等因素影响。
3.1国家经济发展对耕地流转的影响
国家经济发展,尤其是第二、三产业的发展新增了大量的就业岗位,而我国的经济处于世界产业链的终端,决定了就业岗位更多是农村劳动力经过简单培训能胜任的生产制造一线,相对第一产业,二、三产业能获得更高、更稳定的收入,在经济利益的驱使下农村劳动力尤其是就业能力强的青壮年劳动力向二、三产业转移,从而形成耕地流转的供给可能。
3.2农民收入对耕地流转的影响
无论因外出务工选择流出耕地的农民,还是留在农村扩大经营规模流入耕地的农民,都是对更高收入追求而选择相应的流转计划。农民在二、三产业获得的工资收入越高,其流出耕地的概率越高;流入耕地的农户也会在自身投资能力、生产能力范围内选择最大的规模以获得最大规模经济效益。
3.3社会保障对耕地流转的影响
当前我国农民社会保障水平处于较低水平甚至存在缺失状况,而且向其他产业转移的农民就业技能与就业稳定性较差,绝大部分农民始终担心老无所依,而耕地是农民失去就业机会后的最后保障,因此,社会保障的完善程度是决定农民流出耕地的重要因素,社会保障越完善,农民流出耕地的概率越大。
3.4耕地禀赋条件对耕地流转的影响
耕地禀赋包括耕地的地形、机耕道、水利设施等。耕地地形越平坦,机械化作业效率越高,在同等生产资料与劳动力配备下可经营的耕地面积越大;机耕道是农业机器应用的先决条件,机耕道的完善程度也决定了农业机器的效率高低,从而影响耕地经营效益与规模;水利设施越完善,在遭遇极端天气避损能力越强,田间管理投入的劳动力也越少,流入耕地的农民在相同劳动力投入下,可经营的耕地规模越大。
3.5农业机械化水平对耕地流转的影响
农业机械化是现代农业发展的物质支撑,由于农村劳动力的转移,农忙时节农村劳动力供不应求,人工作业成本高,甚至高价也难以雇到足够的劳动力,而机械化作业效率是人工作业效率的几十倍,相同的经营规模,机械化作业需要投入的劳动力远远低于人工作业,因此,农业机械化水平是决定农民流入耕地规模的重要因素,尤其是耕、种、收等用工量大的生产环节,其机械化作业水平对耕地流转的影响程度更高。
3.6国家政策对耕地流转的影响
耕地流转主要是农户之间自愿实施,需要相关政策予以支持,避免产生纠纷。耕地“三权”的确定可以保障农民的耕地承包权不受损害,从根本上保护农民的权益,提高农户流出耕地的信心。金融扶持政策、规模经营有奖财政补贴政策等可以减轻流入耕地农户的经济负担;农田基本建设资金支持可以促进流入土地规模化、集约化经营程度,这些政策都可以促进新型经营主体流入耕地。
二、中国耕地流转时空特征及影响因素分解
截至2014 年,全国家庭承包耕地流转面积达到26893 khm2,占家庭承包经营耕地总面积的比重达30.4%。然而,耕地流转区域不平衡的问题突出,农业机械化、经济发展与农民收入等都影响农户转出或转入耕地,非粮化种植趋势、经营效益等也呈现出多样化的倾向。基于上述背景,对中国耕地流转的时空分布特征及其背后的驱动因素进行深入分析尤为重要。梳理相关文献发现,耕地流转研究集中于农户行为对耕地流转的影响,以及耕地流转对粮食生产的影响;多通过面向农户开展抽样调查获取微观数据,采用Logistic回归模型实证分析农户行为与耕地流转的关系以及对粮食生产的影响。此类方法不可避免会存在残差项,影响研究结果准确性;而且只能从微观层面静态地对耕地流转进行分析。笔者未检索到从宏观维度与时序演变维度开展耕地流转影响因素的研究文献。因素分解法是通过数学方法将目标变量分解为若干影响因素,并从数量上确定各影响因素对目标变量的影响方向和影响程度。Ang B.W.等在此基础上提出对数平均迪氏指数法(logarithmic mean Divisia index,LMDI),LMDI能够保证多因素分解后的残差为0, 有利于进行多层次分析。被广泛应用在能源消费与碳排放影响因素分解中,近年其应用范围越来越广,农业领域也有应用。鉴于此,对中国耕地流转变化的影响因素进行分解,深入分析中国耕地流转的时空特征及其变化的主要影响因素,以期为促进耕地适度规模经营提供政策建议。
1.耕地流转时空特征
1.1耕地流转时序特征
表1 2008-2014年中国不同方式的耕地流转面积 khm2
|
年份 |
转包 面积 |
转让 面积 |
互换 面积 |
出租 面积 |
股份合作面积 |
流转 总面积 |
环比增速 % |
|
2008 |
3 924.27 |
453.56 |
307.43 |
1 900.61 |
321.79 |
7 256.64 |
- |
|
2009 |
5 343.30 |
458.80 |
443.11 |
2 595.48 |
547.94 |
10 102.75 |
39.22 |
|
2010 |
6 422.81 |
623.30 |
638.85 |
3 280.85 |
741.35 |
12 445.54 |
23.19 |
|
2011 |
7 758.05 |
672.74 |
974.47 |
4 113.16 |
847.51 |
15 195.56 |
22.10 |
|
2012 |
9 152.53 |
733.23 |
1 200.36 |
5 355.18 |
1 093.76 |
18 555.61 |
22.11 |
|
2013 |
10 656.40 |
742.44 |
1 406.04 |
7 200.18 |
1 577.87 |
22 734.68 |
22.52 |
|
2014 |
12 523.25 |
796.50 |
1 568.86 |
8 914.54 |
1 808.28 |
26 892.98 |
18.29 |
中国耕地流转面积从2008年的7256.64 khm2增长到2014年的26 892.98 khm2,增长2.7倍,年均增长率达到24.40%。在5种主要流转形式中,通过转包与出租土地经营权流转的耕地面积最大,说明直接将土地经营权转给其他经营者获得收益仍是农户的首选,其中又以转包给同集体的乡邻为主。流转形式以年均增长率大小排序依次为股份合作(33.34%)、互换(31.21%)、出租(29.38%)、转包(21.33%)、转让(9.84%),说明新型经营主体通过吸引散户土地入股与置换实现耕地规模经营成为新的趋势。
2.耕地流转空间特征

a. 2008 年耕地流转率 b. 2014 年耕地流转率

c.2008-2014 年耕地流转率增量 d.2008-2014 年耕地流转面积增量
图2-1 2008-2014 年不同地区耕地流转变化
由图2-1可以看出,2008 年耕地流转率大于40%的省份只有上海(51.27%),流转率位于20%-30%之间的省份只有浙江(27.61%)与重庆(25.28%),绝大部分地区都小于10%。2014 年,耕地流转率大于40%的省份达到了6个,流转率位于30%-40%的省份达到5个,主要分布在经济活跃的长江中下游与京津地区,以及有“大农业”之称的黑龙江。7 年间,江苏与北京的耕地流转率增量超过40%,河南、安徽与黑龙江的增量超过30%;耕地流转面积增量大于2 000 khm2的是黑龙江(2 778.40 khm2)与河南(2 098.15 khm2),2个省份都是中国的农业大省与劳动力输出大省。流转面积增量大于500 khm2的省份有14个,主要分布在长江中下游地区,黄淮海地区,东北地区等中国大宗粮食作物的主产区。总体而言,中国耕地流转呈现“东高西低”的格局。
3.耕地流转影响因素分解
3.1分解因素的时间差异
计算了全国范围内2008-2014年历年耕地流转率增幅,将其分解为经济效应、农民增收效应、经营意愿效应与农机化效应,详见表2。
表2 2008-2014年中国耕地流转率变化的分解因素效应
|
年份 |
经济效应 |
农民增收效应 |
经营意愿效应 |
农机化 效应 |
总效应 |
|
2008-2009 |
0.58% |
0.18% |
-0.37% |
2.77% |
3.16% |
|
2009-2010 |
2.32% |
-0.38% |
-1.27% |
1.99% |
2.66% |
|
2010-2011 |
2.69% |
0.26% |
-2.15% |
2.39% |
3.19% |
|
2011-2012 |
1.42% |
0.75% |
-1.73% |
2.95% |
3.40% |
|
2012-2013 |
1.95% |
2.00% |
-3.94% |
4.45% |
4.46% |
|
2013-2014 |
2.16% |
1.09% |
-2.20% |
3.60% |
4.66% |
|
累计Total |
11.12% |
3.90% |
-11.66% |
18.16% |
21.52% |
2008-2014年中国耕地流转率总共提高了21.52%,历年增幅分别为3.16%、2.66%、3.19%、3.40%、4.46%、4.66%,增幅呈逐年扩大的趋势。由表2可知,经济效应、农民增收效应、农机化效应与耕地流转变化方向基本一致,其中农民增收效应与规模效应个别年份出现负值,而经营意愿效应与耕地流转的变化方向相反。在7 年间,对耕地流转率变化的累计效应大小排序为农机化效应(18.16%)、经济效应(11.12%)、农民增收效应(3.90%)、经营意愿效应(-11.66%),其中经济效应、经营意愿效应波动较大,农民增收效应与农机化效应则逐年增大。
2008-2014年各分解因素效应的变化趋势表明:经济因素、农民增收因素、农机化因素对耕地流转有显著的正向作用,其中农民增收因素与农机化因素的正向作用在逐年增强。农机化因素对耕地流转的正向促进作用最大,说明耕地的规模化经营必须依靠农业生产技术创新,降低农业生产成本,提高生产效率,7年间中国农机总动力从8.2亿kW增长到10.8亿kW,而且农机装备结构日趋优化,耕、种、管、收等各环节的机具保有量均稳步增长,替代了大量的人工作业,为土地的规模化经营、集约化管理提供了技术支撑。经济效应对耕地流转的正面影响次之,7年间中国渡过了国际金融危机,GDP从314 045.4亿元增长到636 138.7亿元,尤其是基础设施投资与建筑业发展迅速,吸引了大量的农业劳动力转移,但由于中国经济面临较大的下行压力,制造业等实体经济不振,经济效应具有明显的波动。经营意愿因素对耕地流转有显著的负向影响,因为中国农民收入主要来源于非农收入,2014年农民工资性收入占总收入的40%,更多用于建房、食品、生活用品等改善生活品质的支出,投资农业生产的意愿不强。
3.2分解因素的空间差异
从经济效应看(图2-2a),所有省份的经济效应都为正,这与中国经济长期保持较快增长密切相关,其中长三角与北京经济最具活力,发展速度最快,上海、江苏、浙江、北京四省(市)的经济效应带动的耕地流转率增幅超过20%,作为中国经济中心的上海增幅达到50.06%。总体上看,经济效应呈现“南高北低”与“东高西低”的格局。
从农民增收效应看(图2-2b),北京、重庆与贵州3个省份的农民收入增速低于其GDP增速,农民享受经济增长的红利相对较低,农民增收效应为负;其余27个省份的农民收入增速普遍高于经济增速,农民增收效应为正, 其中黑龙江省与河南省农业产值占其GDP比重高,农民更能直接受益于经济增长,而民营经济活跃的浙江省农民非农产业参与度高,收入增速快,上述3个省份农民增收效应带动的耕地流转率增幅超过6%;上海、广东、安徽、新疆、山西经济效应带动的耕地流转率增幅超过4%,从空间分布上看,农民增收效应总体呈“东高西低”的格局。
从经营意愿效应看(图2-2c),随着中国经济的快速增长,农业的比较效益低于二、三产业,农民从事其他经营性活动或务工的收入更高,农民投资农业的积极性逐年降低,所有省份的经营意愿效应都为负。其中北京的经营意愿效应最低,由于2008年启动4万亿元投资与北京奥运会的成功举办,推动了北京地价快速上涨,六环内适合农业生产的土地基本被建筑物覆盖,通过征地补偿所获收益远远高于农业生产,因此北京农民经营农业的意愿逐年下降,导致耕地流转率降低39.42%。浙江农民投资农业的意愿仅高于北京,其经营意愿效应导致耕地流转率降低31.20%。总体而言,经营意愿效应东南地区低,北方与西南地区相对较高。
从农机化效应看(图2-2d),2008年以来中国农机购置补贴力度大幅增加,2008-2014年中央财政资金投入额分别为45、129、160、175、215、217.5和170亿元,推动了中国主要农作物机械化水平的快速增长,为耕地的规模化与集约化经营提供了物质支撑,除上海外其他省区的农机化效应都为正。上海种植粮食作物的耕地大部分属于国营农场,家庭承包经营的耕地大部分种植收益较高的设施蔬菜,农机化发展反而增强了农户自主经营的积极性,因此其农机化效应为负。北京、江苏、江西农机化效应带动耕地流转率增幅超过30%,其中北京最高达到了68.51%,大部分省份农机化效应带动耕地流转率的增幅都超过10%,但西南与华南地区相对较低。究其原因,西南与华南地区的地形以丘陵山地为主,耕地资源禀赋差,农机化发展速度滞后,尤其是种植与收获环节机械化发展更为缓慢,需要大量的人工作业,无法形成集约化经营,因此农机化效应较低。不过西南地区的重庆市近年来大力发展农机工业,已成为中国乃至全世界小型农机生产制造中心,同时启动了耕地基础设施建设,开展了标准化农田改造,改善了农机作业环境,其农机化效应带动耕地流转率增长了24.94%。

a.经济效应 b.农民增收效应

c. 经营意愿效应 d. 农机化效应
图2-2 2008-2014 年中国分省域耕地流转各因素累积效应
三、中国耕地经营规模预测
1. 经营规模现状
据全国农村经营管理统计资料,截至2014年底,我国耕地流转总面积为4亿亩,其中流入农户的耕地面积为2.4亿亩,占总流转面积的60%;流入农民专业合作社的耕地面积为0.9亿亩,占总流转面积的22.5%,由于农民专业合作社的股东是农民,流入合作社的耕地可视为流入农户。因此,2014年流入农户的耕地面积为3.3亿亩,占总流转面积的82.5%。耕地流转农户之间的经营规模出现较大差距,流出的耕地的规模变小甚至无耕地经营,流入耕地的农户经营规模也存在差异。近年来,随着耕地流转总量的不断增大,农户耕地经营规模也随之变化,详见表3.
表3 水稻产区不同经营规模农户数占比及增长率 %
|
年份 |
10亩以下 |
10-30亩 |
30-50亩 |
50-100亩 |
100-200亩 |
200亩以上 |
|
2010 |
87.71 |
9.36 |
1.96 |
0.70 |
0.18 |
0.09 |
|
2011 |
87.53 |
9.53 |
1.96 |
0.68 |
0.20 |
0.11 |
|
2012 |
88.02 |
9.13 |
1.92 |
0.72 |
0.12 |
0.10 |
|
2013 |
87.75 |
8.89 |
2.27 |
0.75 |
0.23 |
0.11 |
|
2014 |
87.64 |
8.94 |
2.26 |
0.78 |
0.28 |
0.11 |
|
年均增长率 |
-0.02 |
-1.15 |
3.73 |
2.53 |
10.57 |
5.61 |
近5年,水稻产区耕地经营规模小于10亩的农户数占总农户数的比例稳定在87.73%左右;10-30亩农户数占总农户数的平均比例为9.17%,但近5年一直在下降,年均增长率为-1.15%;30-50亩农户数占总农户数的平均比例为2.07%,年均增长率为3.73%;50-100亩农户数占总农户数的平均比例为0.73%,年均增长率为2.53%;100-200亩农户数占总农户数的平均比例为0.20%,年均增长率为10.57%,增长速度最快;规模大于200亩农户数占总农户数的平均比例为0.10%,年均增长率为5.61%,增长速度也较快。可以看出,近97%的农户耕地面积在30亩以下, 0.3%的农户数耕地面积在100亩以上,但是发展潜力最大。由于200亩以上农户数过于模糊,本文通过数据分布规律得出定量的分布模型,从而对200亩以上规模的分布进行更精确的划分。
2.经营规模预测
设当面积为x时(
),有y=f(x)个农户的经营面积小于x。根据3.4.1的数据可以看出f(x)为单调递增的函数,如图3所示。
图2-3不同经营规模农户数占比及增长率
由图的曲线分布规律可以初步判定:
(1)
其中
与
是待确定的参数,从图3 f(x)的递增性,可以判断出
。经营规模在x1-x2之间的农户数则为:
(2)
确定
与
即可得到所需结果。
2.1相关参数确定
2.1.1推算不同规模农户数占比
根据表3不同耕地面积农户数占比及增长率推算出2020年耕地经营规模分布如表4所示。
表4 2020年不同经营规模农户数占比
|
经营规模 |
10亩以下 |
10-30亩 |
30-50亩 |
50-100亩 |
100-200亩 |
200亩以上 |
|
农户占比% |
87.28 |
8.33 |
2.82 |
0.90 |
0.50 |
0.15 |
2.2.2确定农户数
根据全国农村经营管理统计资料,近5年我国水稻产区农户数在1.94亿户左右波动,因此,2020年的水稻产区农户数设定为1.94亿户。可得到5对x与y值如表5所示。
表5 计算得到的x值与y值
|
X(亩) |
10 |
30 |
50 |
100 |
200 |
|
y(万户) |
16879.95 |
18491.9 |
19037.18 |
19211.85 |
19309.5 |
2.2.3确定分布函数
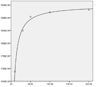
将表5数据代入SPSS进行曲线估计,拟合得到如图2-4估计曲线。
图2-4拟合曲线
得到模型估计结果如表6所示。模型的R2为0.996,F检验值为698.627,显著性为0.000,因此,可以判定该模型有效,具体如下:
(3)
表6模型估计结果
|
模型摘要 |
参数估计 |
|||||
|
R2 |
F |
df1 |
df2 |
显著性 |
α |
β |
|
0.996 |
698.627 |
1 |
3 |
0.000 |
9.874 |
-1.439 |
通过模型(3)可模拟出相应规模的y值,并与推算值进行比较,发现模拟值偏差非常小,不足1%,详见表7.
表7 模拟值与推算值之间的偏差对照结果
|
x |
推算得到y值 (万户) |
模拟得到的y值 (万户) |
误差(%) |
|
10亩 |
16879.952 |
16816.23 |
-0.38 |
|
30亩 |
18491.9018 |
18509.39 |
0.09 |
|
50亩 |
19037.1756 |
18867.95 |
-0.89 |
|
100亩 |
19211.8474 |
19141.42 |
-0.37 |
|
200亩 |
19309.4977 |
19279.64 |
-0.15 |
2.2.4结果分析
由于2020年水稻产区农户数预测值为1.94亿户,所以x<1500亩。利用式3模拟出耕地经营规模在200-1500亩之间y值,均分成14个经营规模段,利用式2计算得到每个区段农户数如表8所示。
由于实际流转耕地面积不能超过可流转耕地面积,3.4.1中已经确定2020年我国耕地面积为18.05亿亩,可推算出水稻产区耕地面积为12.2亿亩,则水稻产区户均耕地面积为6.29亩。通过式3得到经营规模小于6.28亩的农户数为15447.84万户。假设他们是耕地流转供给的全部来源,平均每户流出耕地面积为4.2亩。
表8 2020年经营规模分布
|
规模区间(亩) |
农户数(万户) |
|
10以下 |
16816.23 |
|
10-30 |
1693.15 |
|
30-50 |
358.56 |
|
50-100 |
273.47 |
|
100-200 |
138.22 |
|
200-300 |
46.29 |
|
300-400 |
23.19 |
|
400-500 |
13.93 |
|
500-600 |
9.29 |
|
600-700 |
6.64 |
|
700-800 |
4.98 |
|
800-900 |
3.87 |
|
900-1000 |
3.10 |
|
1000-1100 |
2.54 |
|
1100-1200 |
2.11 |
|
1200-1300 |
1.79 |
|
1300-1400 |
1.53 |
|
1400-1500 |
1.33 |
|
1500以上 |
0 |
从表8可以看出,到2020年稻区耕地经营面积超过100亩的农户数将达到258.8万户,经营面积超过300亩的农户数达74.3万户,经营面积超过500亩的农户数37.2万户,经营面积超过1000亩的农户数将达到9.3万户。规模的扩大,将带来经营方式、种植制度、生产技术等方方面面的变化,农业机器的科学合理配置和使用将成为规模经营农户的必然选择。
3.4.4 不同经营模式规模分布
当前我国各类农业经营主体之间没有清晰的规模界线,而且调研中也发现部分规模经营主体为了获得更多的政策支持,会同时申办多种身份,如2013年家庭农场扶持政策出台后,部分合作社开始申办家庭农场,可以同时享受合作社与家庭农场的优惠政策。但通过调研发现各类主体之间的规模差异,国营农场与合作社的规模多在500亩以上,家庭农场规模在30-500亩之间,散户规模在30亩以下。根据水稻产区2020年耕地经营规模预测结果,得到不同经营模式的农户数量如表9所示。
表9 2020年不同经营模式农户数与面积
|
经营模式 |
规模标准 |
户数(万户) |
农户占比 |
面积占比 |
|
散户模式 |
30亩以下 |
18509.39 |
95.41% |
28.41% |
|
家庭农场模式 |
30-500亩 |
853.66 |
4.40% |
49.22% |
|
合作社模式 |
500亩以上 |
37.07 |
0.19% |
17.67% |
|
国营农场 |
500亩以上 |
0.12 |
0.00% |
4.70% |
到2020年,水稻经营散户数量仍然最多,总农户数达到18509.39万户,占总农户数的95.41%,但散户经营的耕地总面积下降,只占总耕地面积的28.41%。家庭农场将成为水稻规模经营主体的主流,水稻家庭经营农场将达到853.66万户,经营的耕地面积最多,占到总耕地面积的49.22%。合作社数量较少,仅占总农户数的0.19%,但由于平均经营规模较大,合作社经营的耕地面积占总耕地面积的1.677%。国营农场则保持稳定。但总的来说,到2020年,规模化经营成为水稻经营主要方式,水稻产区规模化经营的耕地总量达到71.59%。
参考文献(略)


提示信息